Are you in need of a free printable lease agreement template for Georgia? Look no further! Whether you’re a landlord or a tenant, having a solid lease agreement in place is crucial to protect both parties involved.
Creating a lease agreement from scratch can be time-consuming and confusing, but with a free printable template, you can easily customize it to suit your specific needs. This eliminates the hassle of drafting a new agreement every time you have a new tenant.
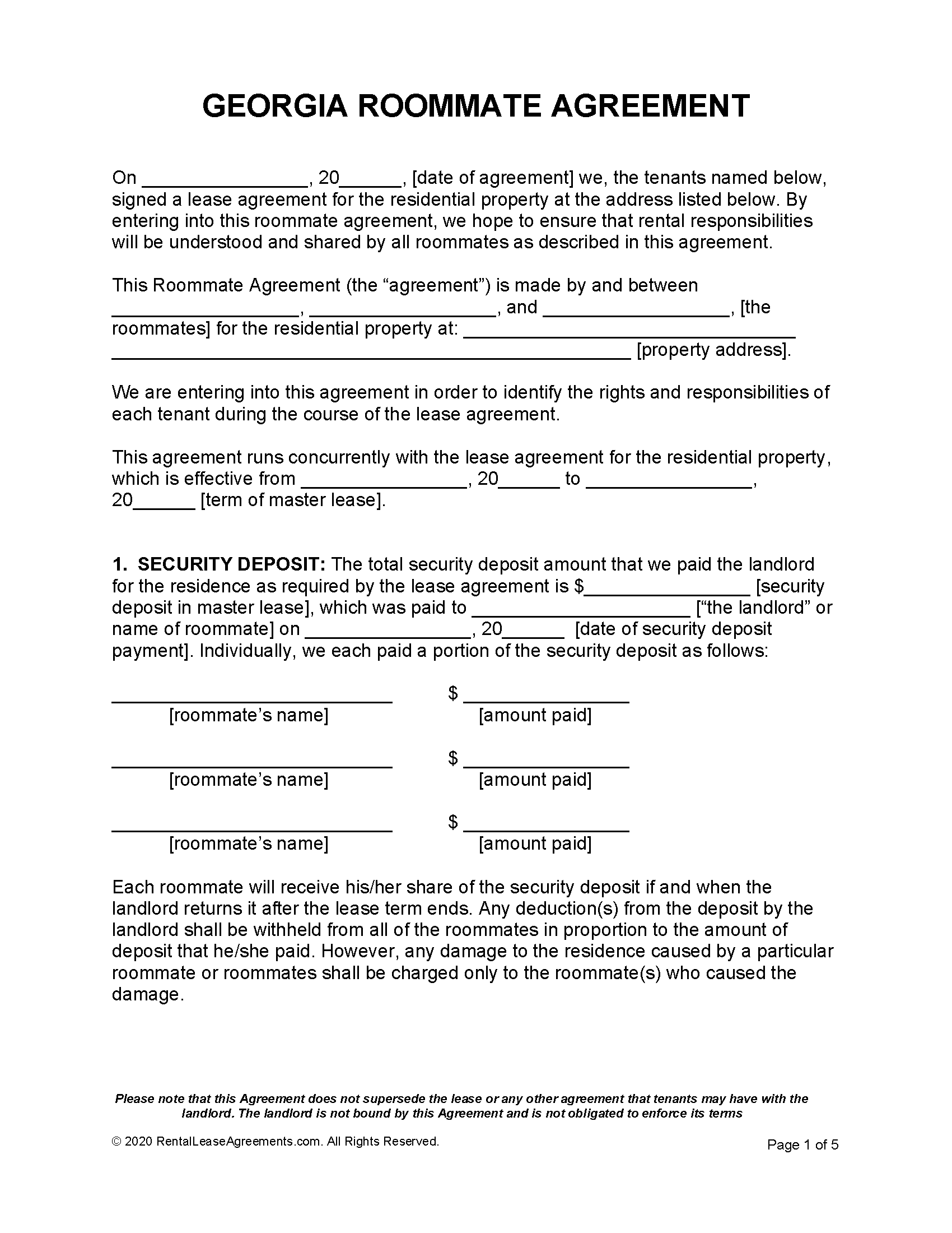
Free Printable Lease Agreement Ga Template
Free Printable Lease Agreement Ga Template
By using a free printable lease agreement template for Georgia, you can ensure that all the necessary terms and conditions are included in the agreement. From rent amount and due date to pet policies and security deposit details, everything can be clearly outlined.
Having a written lease agreement not only protects both parties legally but also helps prevent any misunderstandings or disputes that may arise during the tenancy. It serves as a roadmap for the landlord and tenant to follow throughout the lease term.
With a free printable lease agreement template for Georgia, you can save time and effort while ensuring that all the important details are covered. Whether you’re renting out a residential property or commercial space, having a well-drafted lease agreement is essential for a smooth rental experience.
So, take advantage of the free printable lease agreement template for Georgia available online and make sure your rental agreements are clear, concise, and legally binding. Download your template today and take the stress out of drafting lease agreements!
Free Georgia Rental Lease Agreements 6 Types PDF MS Word
Free Georgia Rental Lease Agreement Templates PDF Word
Free Georgia Rental Lease Agreement Templates 6 PDF
Free Georgia Rental Lease Agreement Templates PDF Word
Free Georgia Lease Agreement Templates 7 PDF Word EForms





