Looking for a free printable non-disclosure agreement template? You’re in luck! Non-disclosure agreements, or NDAs, are essential legal documents that protect sensitive information. Whether you’re a business owner, freelancer, or consultant, having an NDA in place can give you peace of mind.
With our free printable NDA template, you can easily create a customized agreement that meets your specific needs. Simply download the template, fill in the blanks with your information, and you’re ready to go! It’s that easy!
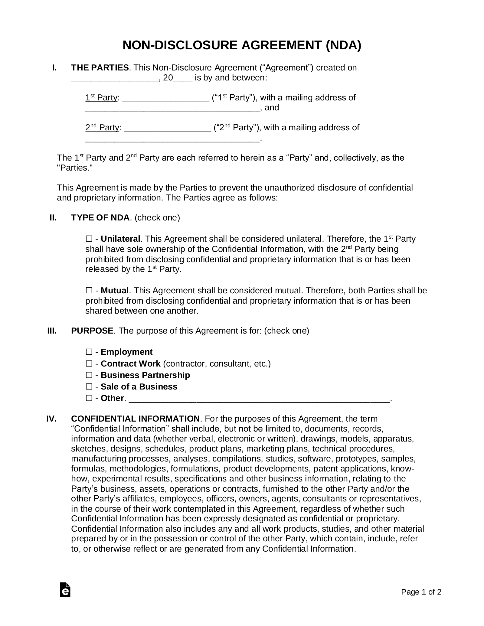
Free Printable Non Disclosure Agreement Template
Free Printable Non-Disclosure Agreement Template
Our NDA template covers all the essential elements, including the parties involved, the scope of the confidential information, the obligations of the parties, and the duration of the agreement. You can also customize the template to include any additional terms or provisions that you require.
Protecting your confidential information is crucial in today’s competitive business environment. By using our free printable NDA template, you can ensure that your sensitive data is safeguarded from unauthorized disclosure or use. Don’t take any chances – download our template today and protect your business!
Don’t wait until it’s too late – safeguard your sensitive information with our free printable NDA template. Whether you’re sharing trade secrets, customer lists, or proprietary technology, having an NDA in place is essential for protecting your business interests. Download our template now and give yourself peace of mind!
44 Non Disclosure Agreement Templates NDA Forms
44 Non Disclosure Agreement Templates NDA Forms
44 Non Disclosure Agreement Templates NDA Forms
Free Non Disclosure Agreement NDA Templates 21 PDF Word EForms
Free Non Disclosure Agreement Template Document





