Calculating dosages in nursing can be a challenging task, especially for new students. One helpful tool to assist in this process is printable nursing dosage calculations worksheets.
These worksheets provide practice problems and scenarios for nurses to work through, helping to improve their skills and confidence in accurately calculating medication dosages.
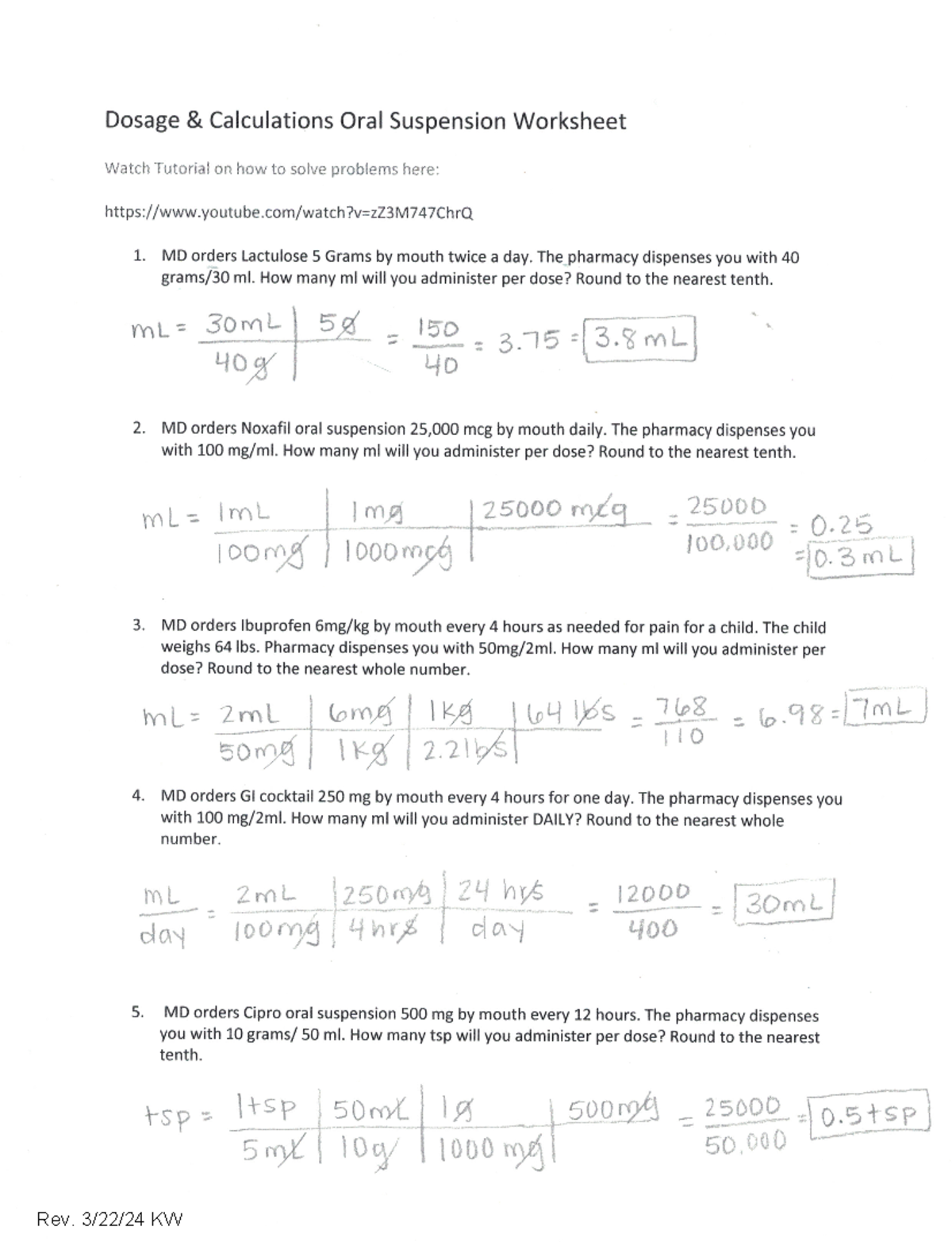
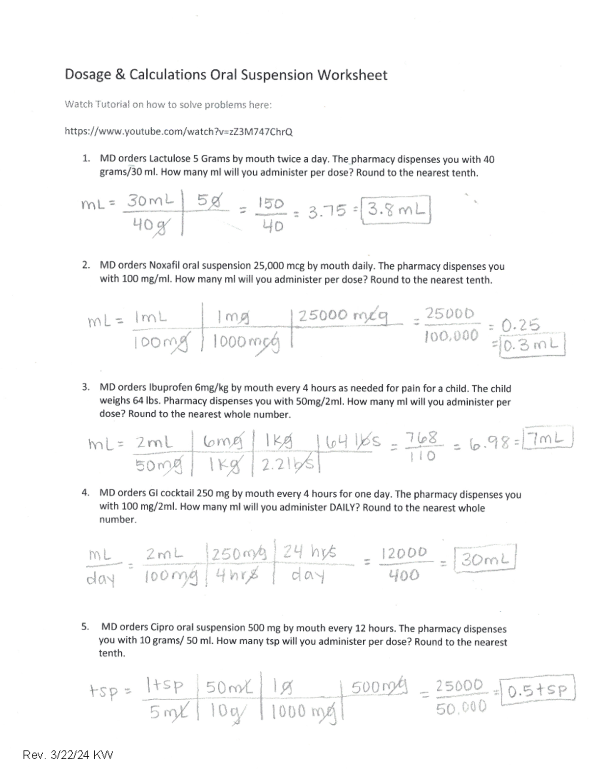
Printable Nursing Dosage Calculations Worksheets
Printable Nursing Dosage Calculations Worksheets
By using these worksheets, nurses can practice converting between different units of measurement, calculating dosages based on patient weight, and ensuring they are administering the correct amount of medication.
Additionally, these worksheets can help nurses identify potential errors in their calculations and develop strategies to prevent medication errors in a clinical setting.
Whether you are a nursing student looking to improve your dosage calculation skills or a practicing nurse wanting to brush up on your knowledge, printable nursing dosage calculations worksheets can be a valuable resource.
Overall, utilizing these worksheets can enhance your proficiency in medication dosage calculations and ultimately improve patient safety and care in a healthcare setting.
So, next time you need some extra practice or guidance with dosage calculations, consider using printable nursing dosage calculations worksheets to sharpen your skills and boost your confidence in delivering optimal patient care.
11 Med Math Worksheets Free PDF At Worksheeto
Dosage Calculation Worksheet With Answers Oral Suspension Analysis Studocu
Med Math Worksheet Dosage Calculations Practice Guide Studocu
Nursing Pharmacology Cheat Sheet Dosage Calculations Conversions PDF Etsy
Pharmacy Dosage Conversion Practice Worksheet PHM 101 Studocu





